首页
Home
关于协会
Nav
新闻中心
Nav
品牌活动
Nav
引领促进
Nav
投资融资
Nav
会员中心
Nav
媒体发布
Nav
联系我们
Nav
协会简介
协会章程
协会结构
协会领导
协会新闻
行业动态
政策法规
会员新闻
跨界大会
绿建黄浦
论文大赛
GBA评奖
G10大咖论道
绿色建筑
绿色建材
设计优化
老旧小区改造
双碳政策
会员申请
会员企业
合作媒体
刊物文献
视频展播
我国工业园区碳达峰路径优化分析模型及实证研究
发表时间:2023-03-30 16:30
摘要:我国工业园区个性共性兼具、千园千面,做好碳达峰面临诸多挑战。本文针对园区发展特点,提出做好碳达峰路径规划要明晰物理空间、管理范围、经济统计、物质能量流分析等四大边界,从多流多过程和系统视角建立园区减污降碳协同增效认知链,揭示园区经济- 能源- 土地- 碳排放多要素相互作用机理;在此基础上,提出了“以地定产、以产见碳、以碳优产”的园区碳达峰“十二字方针”,对其内涵进行了深入剖析,并选择四个园区开展了实证研究。实证应用研究进一步证实了“十二字方针”的可行性,为更多园区科学制定碳达峰路径、推动高质量发展,提供决策参考。
关键词:工业园区;碳达峰;“以地定产、以产见碳、以碳优产”模型
2020 年9 月,习近平在联合国大会上提出,中国二氧化碳排放力争于2030 年前达到峰值,努力争取2060 年前实现碳中和。实现碳达峰、碳中和是一场广泛而深刻的经济社会系统性变革。《中共中央 国务院关于完整准确全面贯彻新发展理念做好碳达峰碳中和工作的意见》明确要求“开展碳达峰试点园区建设”;《国务院关于印发2030 年前碳达峰行动方案的通知》提出要“选择100 个具有典型代表性的城市和园区开展碳达峰试点建设”。2019 年以来,中央政府发布了70 余项与园区绿色低碳循环相关的政策文件,提出了14 类园区示范试点,以“双碳”工作为引领,构成了“十四五”期间推动园区绿色低碳发展的整体战略布局。
我国50% 以上的工业企业集中在园区,70% 的工业用能集中在园区,2543 家国家级和省级园区工业产值占全国的50%,温室气体排放占31%。与此同时,在深入打好污染防治攻坚战过程中,抓好工业园区就抓住了重点、抓住了关键。二十大报告明确提出要协同推进降碳、减污、扩绿、增长,推进生态优先、节约集约、绿色低碳发展。工业园区是贯彻落实绿色发展任务的主力军,应当大有所为。因此,以工业园区为抓手,推动绿色低碳转型,实现经济高质量发展,是我国经济和社会进步的重大战略需求。
一、 科学认识工业园区实施碳达峰的复杂性
工业园区在有限空间内,集聚了大量生产活动,园区内企业间地理距离临近且能共享基础设施,对降低生产成本、提高生态效率有积极意义。但园区产业集聚也带来污染严重、碳排放高、风险源多等新问题。我国工业园区千园千面、个性共性兼具,环境压力也各有特点。总体来说,园区污染与碳排放具有区域性、结构性、复合型、压缩型等典型特征。做好园区“双碳”工作,需要理清园区内产业活动与资源、能源、环境系统间的相互作用,进而针对园区资源能源提效、降碳减污协同措施,制定靶向调控方法及管理策略,这既是工业园区做好碳达峰的关键问题,也是指导实践的重要依据。
园区内组成、结构、过程复杂,主要表现在四个方面:一是精准核算园区碳排放需明晰四大边界;二是园区内多利益相关方集中,需明确划定降碳减污责任;三是需自下而上分析更高精度的园区物质、能量流动的结构路径;四是降碳减污系统优化需要统筹供应链、产业链、价值链。其中边界问题又是摸清园区碳排放家底、量化碳减排潜力,并制定碳达峰路线图的关键基础,但实践中又往往难以清晰界定,导致很多园区碳排放底数不明,不同园区间低碳发展水平难以比较和精准对标分析。
四大边界主要指园区的物理边界、管理边界、经济统计边界和流分析边界(见图1)。物理边界通常指园区不同区域的地理空间范围,国家公布的省级及以上园区名录中明确了其东西南北等四个方向的边界(四至范围),这也通常称为园区的核心区。但经过三、四十年的发展,大量园区核心区已基本开发完全,实践中衍生出拓展区、委托代管区、辐射带动区、飞地等多种多样的园区空间,如某国家级经开区成立之初核心区为
38 km
2
,当前辐射带动区已达到核心区面积的近10 倍。2016 年已有74% 的国家级经开区规划了拓展区,面积是核心区的2.2 倍,实际管辖面积则达到核心区的2.8 倍,反映出园区物理边界的多样性和碳核算碳管理中潜在的巨大不确定性。管理边界指园区与所在属地行政区边界越来越模糊,一方面园区产城融合发展的趋势越来越明显;另一方面一些发达地区的园区将安全、环保、社会公共事务等园区日常运营管理剥离,并与属地政府联合管理,促进园区与属地经济共同发展,但从碳管理角度又衍生出组织运营边界难区分、碳核算边界难确定等相关问题。经济统计边界主要源于园区执行法人注册制,加之园区在发展过程中往往设立许多优惠政策吸引企业入园,使得部分企业在园区内注册登记而在园区外经营活动,按统计规则其经济产出、资源能源消耗与碳排放需计入园区,在实践中进一步增加了碳核算难度。“流分析边界”指园区开展物质、能量、碳流动定量分析时相关的系统边界划定。《国务院关于印发2030 年前碳达峰行动方案的通知》明确“加强园区物质流管理”,这是支撑园区降碳减污工作的重要基础和有效抓手,至少有五种基本形式(见图1),但实践中多见重复计算或遗漏。园区中直接与间接碳排放流、边界内与边界外碳流都需自下而上详加识别,方能筑牢园区碳达峰碳中和之根基。
为此,需要建立园区多种边界的界定原则,基于明确的边界内涵开展物质流、能量流分析,形成园区碳流动图,实现工业园区间物质、能量、碳排总量和碳排放强度可比。此外,园区物质能量流动既有动态流量
演变,也有静态存量锁定,显著增加了园区大样本、长时序、空间化定量分析的难度。加之园区内产业产品门类多样、规模技术不同、排放特征各异的特点,推进精细化定量化降碳减污面临多对象交织、多主体互动等复合难题。因而园区做好“双碳”工作是一项极为复杂的系统工程,需要在阐明四大边界的基础上建立园区经济活动与碳排放关系的科学认知方法。
二、基于多流、多过程、多节点,建立园区降碳减污协同增效认知链
基于实践,本文认为园区制定碳达峰路径时应先清晰说明四大边界,进一步建立边界明晰的物质- 能量流动分析方法,从而构建基于多流- 多过程- 多节点融合模型的全生命周期碳足迹测算体系,建立园区降碳减污协同增效认知链,解决园区经济、能源、环境综合分析边界不明确不统一问题(见图2)。
首先要集成土地、经济、能源、环境、水资源等不同要素,定量揭示园区产业系统和生态环境系统间的相互作用。为此需自下而上基于企业工艺过程解析高分辨物质流、能量流和水代谢,从园区企业、基础设施、园区整体三个层面形成资源环境流动图景,识别重点企业与关键工艺环节。建立园区本地化的活动水平和排放因子,全面解析园区局地、边界内外、近程和远程耦合互动的环境足迹。在此基础上,开展园区价值流分析,阐明物质、能量流动相应的价值增值过程。统筹技术成熟度与技术经济分析方法,甄别园区内主要降碳减污基础措施与关键技术,量化园区实现降碳减污协同增效的成本效益。
其次要沿降碳减污协同增效认知链识别园区边界统一原则下的物质、能量流动与损失,精准测算直接与间接碳排放。在企业微观层面,运用元素流与能量流分析方法研究园区典型单元过程,理清园区多产品、多
要素、多层级的物质、能量代谢结构、路径、过程等特征,建立单元过程间多流融合的碳排放测算方法,揭示节点处工业企业元素- 能量- 碳流动转化规律。在园区中观层面,运用物质流- 能量- 水流动分析方法,集成园区内多企业、多过程(包括基础设施与公用工程等)的物质、能量、碳流转换关系,面向园区生态效率持续提升目标,解析园区企业间、基础设施与园区整体的物质投入、经济产出、资源能源消耗与碳排放的关联关系与互动特征。在区域宏观层面,从园区嵌套的供应链与产业链上下游视角,分析园区与周边近远程区域的物质能量交互作用,进而甄别沿产业链隐含的碳流动路径。耦合全生命周期分析方法,统筹微观- 中观- 宏观层面园区物质能量流动特征,分别以企业、园区、产业作为节点,研究多企业、多区域、多产业的碳足迹融合方法,支撑园区碳足迹量化表征。对关键降碳减污措施开展技术经济分析,针对性提出园区靶向减排措施,调控园区经济活动的物质能量流动过程,构建园区绿色低碳发展路径。
三、工业园区碳达峰模型构建
工业园区实现碳达峰应统筹园区千园千面的生产运行与污染和碳排放特征,以“双碳”目标为指导,构建数据驱动的工业园区碳达峰模型,量化“一园一策”的园区碳减排发展路径,以高分辨数据精准支撑实践管理决策。基于清晰边界界定与多流多过程园区降碳减污协同增效认知链,综合园区典型特点,本文提出“以地定产、以产见碳、以碳优产”的园区碳达峰“十二字方针”。
园区碳达峰模型设计应基于存量产业特征、未来产业发展规划、土地存量、可用余量、开发速度与碳排放历史变化趋势等,研究惯性产业发展结构与模式下园区的能源消耗、资源使用、全生命周期碳足迹,揭示基准情景下园区的碳排放峰值。根据在不同的工业规模与碳生产率提升情景下,园区内各个产业对标国内外资源能源使用效率先进水平的潜在提升空间,面向园区经济发展预期、环境约束性指标、资源能源消耗与碳排放“双控”目标,设置合适的园区总体碳配额优化配置算法,搭建多准则约束下碳排放与经济增长脱钩决策模型,设计碳配额在各产业部门间最合适的分配方案。
为实现上述目标,以工业园区碳达峰“十二字方针”为基本原则搭建园区碳达峰路径优化分析模型(见图3)。模型考虑园区的多样性与复杂性,从园区最核心的生产要素土地空间切入,关注园区已开发存量土地和潜在增量土地,揭示园区经济- 能源-土地- 碳排放多要素相互作用,统筹园区内已建与新增产业资源能源碳生产率“持续改进、整体提升、对标先进”原则,提出不同情景下工业园区“因园而宜”的存量产业碳生产率提升目标与增量产业碳生产率准入门槛。
以下分别剖析“十二字方针”的内涵,并在此指导下建立定量分析模型,模型相关变量和参数定义见表1。
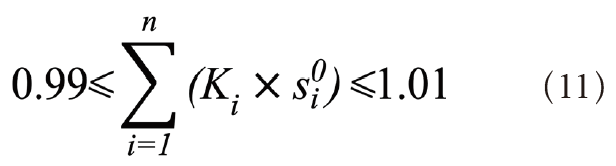
(一) 以地定产
土地是工业园区承载经济生产活动的基
础,也直接决定了园区未来的产业发展潜力。因而模型以土地为出发点,在确定园区四大边界前提下通过土地利用矢量图与土地集约利用情况评价报告等资料,精准识别园区总规划土地、未来潜在新增的可供应土地、企业已建土地与已批待建土地面积等数据。园区在实践管理中形成了多样的园区空间,总规划土地面积并不是可以全部用于基础设施与产业项目的布局,而已开发土地又可细分为存量企业不同时期的开发项目、企业公用工程、未来增量企业的新型投产项目,因此需集成未来产业布局与土地开发政策目标,系统统筹园区未来土地利用与产业发展前景(见图4)。
伴随园区发展,已利用土地面积通常会进一步扩大,而到2030 年园区的发展则可能受到土地面积的约束(即可利用土地可能完全开发),此时其产业发展难以进一步扩张,需同时内部挖潜,提升各行业存量的生产率。根据园区未来产业规划与历史变化趋势,引入土地相关参数分析决策。基于园区总的可供应土地L
c
,基准年已开发土地面积L
0
,基准年土地产出率P 和既有土地面积增长率Q,可计算目标年园区已开发土地面积L
h
(见式(1)所示):
根据园区已开发土地面积和单位土地面积产出,进一步分析园区未来可实现的经济产值。不同行业与发展水平的企业单位土地面积产出各异,取值的不同策略将产生不同的经济预期,以此设定园区内行业经济产出
目标。在不同情景设置中,选择恰当的产出作为“以产见碳”的基础与“以碳优产”的约束条件。综合不同情景下园区土地产出率变化率δ,目标年园区存量企业工业总产值x
stock
、增量企业工业总产值x
incre
、园区工业总产值
x
h
与各行业工业产值xi 分别为(见式(2)~(5)所示):
(二) 以产见碳
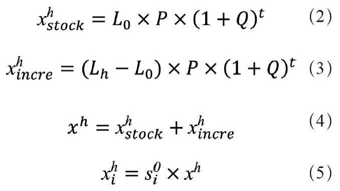
“以产见碳”指通过已建土地、潜在新增土地等土地开发带动的产业发展,预见不同产业的碳排放水平。《温室气体核算体系》提出碳排放可细分为三种核算范围,其中范围1 是直接碳排放,范围2 是外购电力、蒸汽等能源的间接碳排放,范围3 是其他间接排放。当前我国国家级经开区的85% 温室气体都为直接排放,但也有近百家园区间接排放超50%,排放特征各异。因此,研判园区碳排放时应明确其核算边界,是园区物理空间内的直接与间接碳排放、或管理范围内的全部碳排放、或从经济统计延伸的园区工业产出伴随的碳排放、或是物质能量流分析所揭示的沿产业链供应链引发直接与间接资源能源消耗和碳排放变化。园区制定碳达峰路径时需明确碳来源于哪些范围与边界、碳仅指二氧化碳或还包含其他温室气体,方可有效指导减排决策。由于能源消费相关的碳排放占全球约60%,而园区当前能源结构依旧以煤为主,因此当实践管理限于数据可得性与分析复杂性时,能源利用碳排放可作为当前推进园区碳减排的关键着力点。
“以产见碳”时不仅应综合考量存量与增量产业维度,还需靶向针对园区内可变产业与固定产业设置不同的调控策略。制造业等工业行业在园区产业布局规划中相对较为灵活,也是实现产业转型升级的重要抓手。与之相对,园区内能源与环境基础设施(如热电联产、污水处理厂与固废处理企业等)会施加稳定的碳排放基础负荷。一方面,园区基础设施多为配套制造业企业设立,运行较为稳定且可以较好满足园区内企业需求,寿命年限较长;另一方面,基础设施已保持较高的运行效率,可视为未来锁定排放纳入模型,并通过整体煤气化联合循环发电替代传统燃煤发电、分布式光伏发电与风电部署等举措,量化基础设施碳排放的存量提升潜力。
在这些原则指导下,识别园区高分辨企业与4 位代码行业级土地利用水平后,基于不同产业发展特点与单位经济产出二氧化碳排放多样化赋值策略,设置不同情景测量未来园区高精度分行业碳排放总量与碳排放强度,为“以碳优产”反馈优化产业结构、提升资源能源效率与碳生产率,制定行业入园门槛奠定基础。伴随技术进步、工艺过程升级与生产管理规范,园区分行业碳排放强度
总量随之变化,目标年各行业碳排放强度、总量与园区碳排放总量为(见式(6)~(7)所示):
碳排放强度指行业某年碳排放总量与其工业产值的比值,园区企业鉴于各类行业排放特点差异巨大,碳强度各不相同,模型中碳排放强度参数化过程参考园区多样化行业企业过去5 到10 年的碳排放强度变化态势,依据行业碳排放绩效纵向提升与横向对标,评估未来园区不同碳排放总量预期水平,参数化赋值时要体现“持续改进、整体提升、对标先进”的原则,并考虑价格指数的变化。“持续改进”指园区的亩均效益、能耗强度、碳排放强度、碳生产率(单位碳排放的工业产值)等指标,要实现企业和园区的整体性持续提升,不应低于历史同期水平而需实现行业生态效率的纵向持续性跃迁。“整体提升”指上述指标应优于园区所在区域的工业平均水平或行业内平均水平,体现园区推动工业绿色低碳发展的带头作用。“对标先进”指上述指标应进一步对标国内外同行业先进水平,并统筹园区各行业适用的颠覆性技术沿时序演变的成本效益与减排潜力,面向国家碳达峰与碳中和精准绘制园区近中远期碳减排路线图。
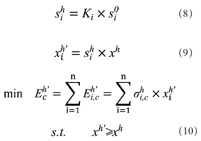
(三)以碳优产
“以碳优产”指将以产业预见的碳排放作为园区碳总量基准配额,在此基础上统筹工业总产值与增加值达预期增长、资源能源利用率提升等目标,反馈优化园区产业结构、提升其存量与增量行业碳生产率,并设置未来存量产业效率提升目标与新增产业效率准入门槛,科学制定园区碳达峰路线图,以实现园区碳排放与经济发展脱钩。
伴随园区经济发展,依据其未来产业发展规划与历史增长惯性,已利用土地面积与其对应支撑的工业产出通常会不断上升,而若不采取减排干预措施,各产业碳排放也会随之增加。因此,在达成经济预期增长愿景的同时,实现园区土地集约利用、能源消耗减量与碳排放降低,是园区深入推进绿色低碳发展的必由之路。为此,集成目标年园区高精度存量与增量分行业企业的土地利用与工业产值/ 增加值量化评估,综合园区生产运行特点,面向“双碳”目标构建“以碳优产”的园区靶向碳减排路径优化分析模型,综合产业结构优化与资源生产率提升措施实现园区资源提效减排,工业过程减排与结构调整减排。通过设置不同减污降碳情景促进园区产业结构平稳过渡的同时,实现碳生产率稳步提升,推动园区生态效率整体进步,支撑其未来产业规划管理决策,优化过程示意见图5。
基于基准年行业结构与其过去5 到10 年的演进规律,分析各行业资源能源及碳排放强度变化。综合土地利用水平演化趋势,可得出目标年园区按历史惯性发展的经济总量与相应资源能源消耗和碳排放水平。由于环境压力通常随经济规模扩大而增长,此时的发展路径较难持续。因而需通过经济增长目标及碳排放总量约束下的结构优化和各行业
效率提升,在满足预期经济产出目标的同时,设计园区目标年高质量发展的转型策略。设置不同减污降碳情景,基于多准则决策,筛选出园区成本效益最优的碳达峰路径(如产业结构调整幅度最小、碳减排潜力最大等),实现园区碳排放与经济增长的脱钩,具体阐述如下:
在前述两步基础上,识别出园区产业结构转型重点行业,引入模型关键决策变量——产业结构优化因子K
i
,表征某行业目标年工业产值占工业总产值的比例相对基准年的倍数,基准情景下未施加干预措施时, 目标年园区内各行业K
i
的初始取值为1,K
i
的不同取值揭示了各有侧重的政策导向。由此,可计算出不同调控情景下,某产业存量与增量行业的工业产值在目标年占园区工业总产值的比例s
h
与各行业工业产值x
h
,进而面向园区助力国家碳达峰与碳中和,设置模型优化目标(见式(8)~(10)所示)。
由于
K
i
是离散变量,允许模型优化后的园区目标年经济总量与预期经济发展目标有一定偏差,通常将偏差设定为1% 之内,即(见式(11)所示):
型优化后可能产生多组
K
i
的可行解,为保证园区产业结构可以平稳过渡,产业转型成本最小,同时消除基准年各行业产值占比影响模型调控偏好,引入产业结构调整平稳性指标T,并将其作为多组可行解的优选排序准则,T 分析了成本效益较优的园区产业结构升级路径,可在管理中更好地支撑决策(见式(12)所示)。
四、工业园区碳达峰“十二字方针”实证分析
将基于“十二字方针”搭建的园区碳达峰路径模型应用于四个国家级工业园区开展实证研究,以支撑园区碳达峰路线图的制定。所选案例园区均为驱动所在地经济增长的关键动力,但也是碳排放的重要来源,其产业类型结构多样且转型升级潜力较高,其中既有发展超30 余年、工业产值高达数千亿的超大规模园区,也有成立近10 年、工业产值达数百亿级的新兴园区,兼具典型性与代表性,可较好地揭示碳达峰方针的推广适用性。
模型基于2016 年~ 2020 年面板数据,阐述了各园区绿色低碳发展现状,并以2020年为基准年,解析针对2030 年前碳达峰的产业结构升级路径。根据园区四大边界界定并结合实际,本实证研究碳核算边界划定为园区物理边界内的范围一(直接排放)和范围二(外购电力、热力的间接排放),涵盖边界内所有能源相关碳排放源,温室气体核算种类包括制造业排放相对较高的CO
2
、CH
4
与N
2
O, 以CO
2
当量(CO
2
-eq)折记。2020年,甲、乙、丙、丁四家园区分别产生722.8万吨、768.8 万吨、680.2 万吨和433.5 万吨CO
2
-eq,碳生产率分别为7.01 万元/ 吨、5.93万元/ 吨、14.93 万元/ 吨和16.69 万元/ 吨CO
2
-eq,园区间资源能源利用效率差异显著。在行业层面,四家园区中新兴产业碳生产率最高,而传统劳动密集型产业大多伴随较低的碳生产率。
根据《国民经济行业分类》标准,19个行业在四个园区中均有体现,四个行业存在于三家园区,五个行业存在于两个园区,还有三个特异性行业仅存在于单个园区,体现出园区个性与共性兼具的复合特征。统筹兼顾“持续改进、整体提升、对标先进”的优化原则,应用模型调控园区产业结构并据此重新分配各行业间的碳排放配额, 图6 揭示了各园区分行业2020年~2030 年间产业结构调整策略(以
K
i
表示)。计算各行业的
K
i
平均值后发现,19个常见行业
K
i
值的方差为0.35,而其余行业Ki 的方差仅为0.03。与一般产业相比,特异性行业的产业结构调整幅度更小,主要源于一般性产业具有更高的可替代性,因而在园区产业结构升级时会有较大波动,需关注此类产业在园区深入推动绿色低碳发展进程中的平稳转型。
模型优化后的各园区产业转型低碳发展个性化路径显示,甲园区2030 年开发土地面积将达8408 公顷,仍低于园区总可利用面
积,满足园区进一步发展需求,园区总体碳生产率将较2020 年增长178%,至19.47 万元/ 吨CO
2
-eq。对于乙园区,15 个重点行业结构升级后,其在2030 年碳生产率可达16.48 万元/ 吨CO
2
-eq。对于丙园区,经17个行业深度转型后其2030 年总体碳生产率相较基准年将提升一倍至31.01 万元/ 吨CO
2
-eq,但此时将达到园区可利用土地面积上限,需进一步扩充发展空间。丁园区将于2025 年前达到土地发展上限,若此后该园区无空间扩张而注重存量行业提升,其在2030 年碳生产率仍可达61.82 万元/ 吨CO
2
-eq,减碳效果最为显著。
调控情景下,通过科学高效的产业结构转型与各行业碳生产率稳步提高,四个案例园区均能在2030 年成本有效地达到碳排放峰值,其中甲、乙园区将在2020 年~ 2025 年间实现碳达峰,丙、丁园区将在2025 年~ 2030
年间达到排放峰值。各园区土地利用、经济发展、碳减排与碳生产率提升潜力如图7 所示,以“双碳”目标为引领,四家园区经济发展与碳排放的脱钩趋势均将不断增强。
由于模型中大多参数依据政府实际产业规划或目标确定,不确定性分析主要针对源于各园区历史惯性演化的参数。考虑到实践中各行业碳强度变化可能受到未来产品、技术、管理和市场等多方面的影响,假设2020 ~ 2030 年间参数以±10% 区间波动,对优化方案进行蒙特卡洛模拟。结果显示,四家园区至2030 年碳减排和碳生产率预测偏差均小于5%,且各园区优化后的产业结构调幅极小,模型在不确定性条件下的稳健性良好。
五、结语
工业园区经过40 余年的发展,已成为
中国庞大健全的工业体系中的关键组成部分,也是驱动各地工业发展的重要支撑。
在“双碳”目标下,国家层面正在逐步建立起完善的“1+N”政策体系,对园区而言,蓝图已然绘制,当实干向未来。
然而,实践中园区还面临着千园千面、边界不清晰,碳排放底数不清等复合型挑战。
在新时代新起点上,各级各类园区应勇担重任,以排头兵姿态和突击队担当,将绿色低碳循环理念融入园区各项工作中,积极有为全面开创高质量发展的新局面。
本研究提出,为科学做好园区碳达峰,需在明晰园区四大边界后,精准解析多流、多过程、多节点降碳减污协同增效认知链,面向国家2030 年碳达峰战略目标,制定适用于园区生产运行管理的碳达峰路线图。为此,应建立起一套园区四大边界清晰的碳排放核算指南,形成碳核算统计标准,绘制全国各类园区间物质、能量、碳排总量和强度可比的碳流动图景。在深入揭示园区碳排放现状特征的基础上,提出“以地定产、以产见碳、以碳优产”的“十二字方针”,统筹园区资源能源效率与碳生产率“持续改进、整体提升、对标先进”的目标原则,构建园区碳达峰路径优化分析模型。精准分析园区用地结构,厘清园区已利用土地与未来开发潜力;从存量产业效率提升和增量产业准入门槛两个角度,研究不同调控情景下园区碳排放及资源环境影响;以可预见的碳排放和土地面积为约束,反馈优化园区产业结构与资源生产率提升水平,推动园区碳排放与经济增长脱钩的新发展路径。基于科学的认知和模型方法,树立一批具有国际、国内示范意义的碳达峰碳中和标杆园区,引领中国工业绿色低碳转型,深入推进经济高质量发展,绘就更多美丽中国的新样板。
分享到:
CONTACT US 联系我们
BLOGROLL
友情链接
联系邮箱:
250662547
@qq.com
联系电话:010-51164646 联系地址:
北京
朝阳区管庄东里甲1号,中国建材研究总院内
中国建筑节能协会
建筑工程改造与加固平台
中国建筑声学在线
云课堂——建筑建材融合发展研究中心